Da sitze ich nun, schmore in der Hitze, die uns immer wieder für einige Tage niederdrückt, und warte auf die nächste Reise. Ja wir reisen wieder, das habe ich schon erklärt. Kanadas Maritimes und die Neuenglandstaaten warten auf uns. Ich lerne „Indian Summer“ sagt man nicht mehr, aus Rücksicht auf die Indigenen. Es heißt jetzt „foliage peak“. Was für ein nichtssagender Ausdruck. Foliage heißt einfach Laub und Peak Höhepunkt. Manchmal finde ich Rücksicht in der Sprache nur schade. Wir verlieren manchen treffenden bildhaften Ausdruck für eine mitunter doch sehr aufgesetzte Gerechtigkeit. Diskriminierung aufzugeben braucht mehr, aber vielleicht ist diskriminierungsfreie Sprache ein notwendiger Schritt.
Auch wir haben gelernt, Corona ein Stückchen wegzuschieben. Unsere 4. Impfung ist 5 Monate her, also wohl nicht mehr so wirksam. Und die Ansteckung mit der Omikron-Variante lässt sich auch mit der Impfung nicht verhindern. Viele unserer Freunde hat es schon erwischt und mal mehr, mal weniger krank gemacht. Also sehen wir uns vor, tragen Maske, wenn uns Fremde zu lange zu nahe kommen und warten auf die angepassten Impfstoffe. Den Langstreckenflug nach Kanada mit Maske zu verbringen, finden wir nicht toll, aber immer noch besser als ein weiteres Jahr ohne Reise zu verbringen.
Vorher sind noch diverse Steuererklärungen zu bearbeiten und Hannah und ihren Freund Jan bei dem bevorstehenden Umzug in ihre neue Wohnung zu unterstützen, nicht sehr begeisternde Beschäftigungen, vor denen ich mich gern etwas drücke. So schaffe ich es vielleicht noch, vor der Reise ein weiteres Fest in Lollar zu beschreiben.
Das es das letzte werden würde, wussten wir natürlich noch nicht. Immerhin verfasste ich zu diesem Fest schon einmal die „Chronik der 33 Feste in Lollar“. Der endgültige Umzug nach Berlin war beschlossen, aber der Verkauf unseres Lollarer Hauses zog sich hin. Es gab viele Interessenten, die sich prinzipiell unser doch sehr großes Haus Kredit-finanziert hätten leisten können, und ganz begeistert waren, dass ein solches Haus überhaupt zu kaufen ist. Allein, es fehlte am nötigen Eigenkapital. Im Herbst 2015 fanden wir dann einen Käufer, der damit gar keine Probleme hatte.
Also das letzte Fest: wie immer brauchte ich ein kulinarisches Motto. Ich dachte daran, mal traditionelle deutsche Gerichte zu kochen. Meine Ideen führten mich schnell zu der Frage: Was sind überhaupt deutsche Gerichte? Es gab doch viele heimat bezogene Speisen, die so deutsch gar nicht waren, z.B. das allseits beliebte Gulasch. Mir fiel ein Buch in die Hände „Gerichte mit Geschichte“ von . Das interessierte mich, und ich begann für einige der ausgewählten Speisen zu recherchieren, was es damit auf sich hat. Außerdem galt es, für heute taugliche Rezepte zu finden. Die Ergebnisse will ich euch nicht vorenthalten. Wegen der besseren Lesbarkeit stelle ich die Rezepte ohne besondere Rechercheergebnisse voran. Und ich füge die Kopien für meine Kochmannschaft ein, so wie ich sie kopiert und mit Anmerkungen versehen hatte. Und- wie man sieht- habe ich meine Inspiration und Erkenntnisse nicht nur aus Büchern, sondern auch aus den Untiefen des www. Korrekte Quellenangaben wären da eine Sisyphusarbeit, die ich mir hier auf meiner privaten Website spare.
Hier ist zunächst der Menüplan

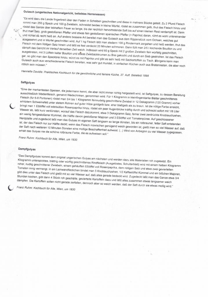
Dazu kam für Freitag auch noch Gulasch mit Semmelknödel und Krautsalat und Birne Helene zum Nachtisch.
Man sieht in den folgenden Rezeptkopien auch die Mengenvervielfältigung für mein 25 Personen-Büfett. X 1,5 heißt also anderthalbfache Menge. Verzeiht aber bitte meine mangelnde Sorgfalt beim Ausschneiden, Aufkleben und Ausrichten der Kopien. Die ausgehändigten Rezeptkopien taugten nach dem Tohuwabohu in der Küche, verziert mit Speiseresten oder aufgeweicht vom Spülwasser ohnehin nur noch für den Mülleimer. Aber ihr wisst natürlich, dass ihr jedes Bild vergrößern, kontrastreicher oder anders bearbeiten könnt, wenn ihr die Lesbarkeit erhöhen wollt.

























